TinToll Performance Materials Co., Ltd.
TinToll Performance Materials Co., Ltd.
Bis(2,2,6,6,-tetramethyl-4-piperidinyl) decanedioate and N,N'-bis(2,2,6,6-Tetramethyl-4-piperidinyl)-1,6-hexanediamine, polymer with 2,4,6-trichloro-1,3,5-triazine and 2,4,4- trimethyl-1,2-pentanamine

PowerStab™ 7794

CAS No. 52829-07-9, 70624-18-9

Bis(2,2,6,6,-tetramethyl-4-piperidinyl) decanedioate and N,N'-bis(2,2,6,6-Tetramethyl-4-piperidinyl)-1,6-hexanediamine, polymer with 2,4,6-trichloro-1,3,5-triazine and 2,4,4- trimethyl-1,2-pentanamine


PowerStab™ 7794 is a synergistic blend of PowerStab™770 (LMWH) and PowerStab™ 944 (HMWH).

Where to buy CAS No. 52829-07-9, 70624-18-9
Bis(2,2,6,6,-tetramethyl-4-piperidinyl) decanedioate and N,N'-bis(2,2,6,6-Tetramethyl-4-piperidinyl)-1,6-hexanediamine, polymer with 2,4,6-trichloro-1,3,5-triazine and 2,4,4- trimethyl-1,2-pentanamine

Technical Data of PowerStab™ 7794 CAS No. 52829-07-9, 70624-18-9

SynonymsTinuvin 791, Lowilite 7794.

CAS Number

52829-07-9, 70624-18-9

EINECS Number

258-207-9, N.A.

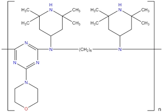
Chemical Structure


bis 2,2,6,6, tetramethyl 4 piperidinyl decanedioate and n,n' bis 2,2,6,6 tetramethyl 4 piperidinyl 1,6 hexanediamine polymer with 2,4,6 trichloro 1,3,5 triazine and 2,4,4  trimethyl 1,2 pentanamine

bis 2,2,6,6, tetramethyl 4 piperidinyl decanedioate and n,n' bis 2,2,6,6 tetramethyl 4 piperidinyl 1,6 hexanediamine polymer with 2,4,6 trichloro 1,3,5 triazine and 2,4,4  trimethyl 1,2 pentanamine

Chemical Formula

C28H52O4N2, (C35H68N8)n

Molecular Weight

2000-3000

Packing

PowerStab™7794 is supplied in net weight 25kg fiber drum with PE liner.

Note

All information in the leaflet is based on our present knowledge and experience. We reserve the right to make any changes according to technological progress or further developments. Performance of the product described herein should be verified by testing.


We specifically disclaim any other express or implied warranty of fitness for a particular purpose or merchantability.


We disclaim liability for any incidental or consequential damages.

Benefits & Applications of PowerStab™ 7794 CAS No. 52829-07-9, 70624-18-9

PowerStab™ 7794 is especially suitable for the protection of polyolefins such as PP, PE, PP/EPDM and PP/PE/EPDM blends from the damage of UV radiation. Due to its synergistic effect, the HALS UV stabilizer is extremely good for thick applications where the efficacy and long term protection are needed to be considered at the same time.


PowerStab™ 7794 can also be used in styrenic polymers, e.g. ABS, impact polystyrene, etc.

Physical Properties of PowerStab™ 7794 CAS No. 52829-07-9, 70624-18-9

Appearance

White to Off-white Powder

Melting Point (°C)

60-120

Specific Gravity (20°C)

0.01

Vapor Pressure [20°C, Pa]

Max.0.01

Volatiles (%)

Max.0.8

Color of solution 425nm (%)

93

Color of solution 500nm (%)

97

Ash (%)

Max.0.1

Solubility of PowerStab™ 7794 CAS No. 52829-07-9, 70624-18-9

Solubility [20°C]

% w/w

Acetone

>20

Dichloromethane

>30

Styrene

>30

Water

<0.1


How can we help you?
Reqest a sample? Request a quote? Technical question? Find a distributor?
Recommended Hindered Amine Light Stabilizer
Bis(2,2,6,6,-tetramethyl-4-piperidinyl) decanedioate and N,N'-bis(2,2,6,6-Tetramethyl-4-piperidinyl)-1,6-hexanediamine, polymer with 2,4,6-trichloro-1,3,5-triazine and 2,4,4- trimethyl-1,2-pentanamine