TinToll Performance Materials Co., Ltd.
TinToll Performance Materials Co., Ltd.
[2,2'-Thiobis(4-t-octylphenolato)]-n-butylamine nickel

PowerSorb™ 1084

CAS No. 14516-71-3

[2,2'-Thiobis(4-t-octylphenolato)]-n-butylamine nickel


PowerSorb™ 1084 is a benzotriazole type ultraviolet light absorber (UVA), imparting good light stability for plastics and other organic polymers. It protects polymers as well as organic pigments from UV radiation helping to preserve the original appearance and physical integrity of engineered plastics, PVC, elastomer, adhesives, and polyurethanes during outdoor weathering.

Where to buy CAS No. 14516-71-3
[2,2'-Thiobis(4-t-octylphenolato)]-n-butylamine nickel

Technical Data of PowerSorb™ 1084 CAS No. 14516-71-3

SynonymsChimassorb N-705, Songsorb 1084, Cyasorb UV-1084, Lowilite Q84.

CAS Number

14516-71-3

EINECS Number

238-523-3

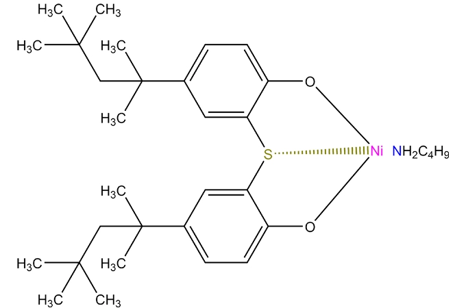
Chemical Structure

2,2' thiobis 4 t octylphenolato n butylamine nickel

Chemical Formula

C32H51NNiO2S

Molecular Weight

572

Packing

PowerSorb™ 1084 is supplied in net weight 25kg fiber drum with PE liner.

Note

All information in the leaflet is based on our present knowledge and experience. We reserve the right to make any changes according to technological progress or further developments. Performance of the product described herein should be verified by testing.


We specifically disclaim any other express or implied warranty of fitness for a particular purpose or merchantability.


We disclaim liability for any incidental or consequential damages.

Benefits & Applications of PowerSorb™ 1084 CAS No. 14516-71-3

PowerSorb™ 1084 has advantages as below:


- Good performance synergy with other stabilizers, especially for UV absorbers

- Good stabilization in polyethylene film and polypropylene film

- Excellent compatibility with polyolefins

Physical Properties of PowerSorb™ 1084 CAS No. 14516-71-3

Appearance

Pale Green Powder

Density [20°C, g/cm3]

1.13

Melting Point (°C)

245-280

Flash Point (°C)

140

Volatiles (%)

Max.0.8

Color of Solution 460nm (%)

Min.95

Color of Solution 500nm (%)

Min.97

Ni Content (%)

10.1-10.2

Toluene Insoluble (%)

Max.0.1

Purity (%)

Min.99

Solubility of PowerSorb™ 1084 CAS No. 14516-71-3

Solubility [20°C]

% w/w

Water

<0.01


How can we help you?
Reqest a sample? Request a quote? Technical question? Find a distributor?
Recommended Nickel Quencher
[2,2'-Thiobis(4-t-octylphenolato)]-n-butylamine nickel